• Kontrol Tanaman Hidroponik di Rooftop


    1.      Tujuan[Kembali]

    a.       Mengetahui pengaplikasian kontrol tanaman hidroponik di rooftop

    b.      Mengetahui cara membuat rangkaian kontrol tanaman hidroponik di rooftop

    c.       Dapat menjelaskan prinsip kerja alat kontrol tanaman hidroponik di rooftop

    pada proteus.

    2.      Alat dan bahan[Kembali]

    a.       Alat

    ·         Power supply

    Power Supply atau dalam bahasa Indonesia disebut dengan Catu Daya adalah suatu alat listrik yang dapat menyediakan energi listrik untuk perangkat listrik ataupun elektronika lainnya.

    ·         Voltmeter DC

    Difungsikan untuk mengukur besarnya tegangan listrik yang terdapat dalam suatu rangkaian listrik. Dimana, untuk penyusunannya dilakukan secara paralel sesuai pada lokasi komponen yang sedang diukur.

    b.      Bahan

    ·         Resistor

    Specifications

     

    Resistance (Ohms)

    10K, 500K

    Power (Watts)

    0.25W, 1/4W

    Tolerance

    ±5%

    Packaging

    Bulk

    Composition

    Carbon Film

    Temperature Coefficient

    350ppm/°C

    Lead Free Status

    Lead Free

    RoHS Status

    RoHS Compliant

    Datasheet


    ·         Dioda 1N4001

    Spesifikasi:

    ü  Package Type: Available in DO-41 & SMD Packages

    ü  Diode Type: Silicon Rectifier General Usage Diode

    ü  Max Repetitive Reverse Voltage is: 1000 Volts

    ü  Average Fwd Current: 1000mA

    ü  Non-repetitive Max Fwd Current: 30A

    ü  Max Power Dissipation is: 3W

    ü  Max Storage & Operating temperature Should Be: -55 to +175 Centigrade

    Konfigurasi pin

    Nomor Pin

    Nama Pin

    Deskripsi

    1

    Anoda

    Arus selalu Masuk melalui Anoda

    2

    Katoda

    Arus selalu Keluar melalui Katoda

    ·         Transistor NPN BC547

    Konfigurasi pin:

    ü  Collector

    ü  Base

    ü  Emitter

    Spesifikasi:

    ü  Transistor Type : NPN

    ü  Voltage – Collector Emitter Breakdown (Max) : 45 V

    ü  Current- Collector (Ic) (Max) : 100mA

    ü  Power – Max : 625 mW

    ü  DC Current Gain (hFE) (Min) @ Ic, Vce : 110 @ 2mA, 5V

    ü  Vce Saturation (Max) @ Ib Ic : 300mV, @ 5mA, 100mA

    ü  Frequency – Transition : 300MHz

    ü  Current- Collector Cutoff (Max) : -

    ü  Mounting Type : Through Hole

    ü  Package / Case : TO-226-3, TO-92-3 (TO-226AA) Formed Leads

    ü  Packaging : Tape & Box (TB

    ü  Lead Free Status : Lead Free

    ü  RoHs Status : RoHs Compliant

    Data Sheet Transistor:

    Grafik Respon:


    ·         OP AMP LM358

    Konfigurasi pin:

    ü  Pin-1 dan pin-8 adalah o / p dari komparator

    ü  Pin-2 dan pin-6 adalah pembalik i / id

    ü  Pin-3 dan pin-5 adalah non inverting i / id

    ü  Pin-4 adalah terminal GND

    ü  Pin-8 adalah VCC +

    Spesifikasi:

    ü  Ini terdiri dari dua op-amp internal dan frekuensi dikompensasi untuk gain kesatuan

    ü  Gain tegangan besar adalah 100 dB

    ü  Lebar pita lebar adalah 1MHz

    ü  Jangkauan pasokan listrik yang luas termasuk pasokan listrik tunggal dan ganda

    ü  Rentang catu daya tunggal adalah dari 3V ke 32V

    ü  Jangkauan pasokan listrik ganda adalah dari + atau -1.5V ke + atau -16V

    ü  Penyaluran arus pasokan sangat rendah, yaitu 500 μA

    ü  2mV tegangan rendah i / p offset

    ü  Mode umum rentang tegangan i / p terdiri dari ground

    ü  Tegangan catu daya dan diferensial i / p tegangan serupa ayunan tegangan o / p besar

    ·         POT-HG

    Spesifikasi:

    ü  Type: Rotary a.k.a Radio POT

    ü  Available in different resistance values like 500Ω, 1K, 2K, 5K, 10K, 22K, 47K, 50K, 100K, 220K, 470K, 500K, 1 M.

    ü  Power Rating: 0.3W

    ü  Maximum Input Voltage: 200Vdc

    ü  Rotational Life: 2000K cycles

    Konfigurasi pin:

    Pin No.

    Pin Name

    Description

    1

    Fixed End

    This end is connected to one end of the resistive track

    2

    Variable End

    This end is connected to the wiper, to provide variable voltage

    3

    Fixed End

    This end is connected to another end of the resistive track

    Konfigurasi potensiometer:

    ·         Water pressure sensor

    Spesifikasi:

    Range

    0…16 bar

    Output signal

    4-20mA, 0-5VDC

    Supply Voltage

    10-28VDC

    Over Pressure

    1.5×FS

    Accuracy

    0.5%FS

    Long-term Stability

    max. ±0.3%FS/year

    Pressure type

    gauge / absolute / sealed gauge

    Operating Temperature

    -10°C~ +60°C

    Compensating Temperature

    -30°C80°C, intrinsic safe version: -10°C60°C

    Temperature Drifting

    0.03%FS/°C typ.,0.05%FS°C

    Housing protection

    IP65

    Main Material

    housing: stainless steel 1Cr18Ni9Ti, Sensor housing: stainless steel 316, Diaphragm: stainless steel 316L, Sealed-ring: Viton, Plug housing: plastic

    Electric connection

    DIN43650 plug

    Load

    ≤(U-10)/0.02(2-wire) ≥10k(3-wire)

    Process connection

    G 1/4" male waterline seal

    Storage Condition

    -40~120°C

    Konfigurasi pin:

    Pin

    2-wire

    3-wire

    1

    +V

    +V

    2

    Signal: +OUT

    GND

    3

    Null

    Signal: +OUT

    ·         Soil moistures sensor

    Spesifikasi:

    ü  Operating Voltage: 3.3V to 5V DC

    ü  Operating Current: 15mA

    ü  Output Digital - 0V to 5V, Adjustable trigger level from preset

    ü  Output Analog - 0V to 5V based on infrared radiation from fire flame falling on the sensor

    ü  LEDs indicating output and power

    ü  PCB Size: 3.2cm x 1.4cm

    ü  LM393 based design

    ü  Easy to use with Microcontrollers or even with normal Digital/Analog IC

    ü  Small, cheap and easily available

    Konfigurasi pin:

    Pin Name

    Description

    VCC

    The Vcc pin powers the module, typically with +5V

    GND

    Power Supply Ground

    DO

    Digital Out Pin for Digital Output.

    AO

    Analog Out Pin for Analog Output

    ·         LDR sensor

    Spesifikasi:

    ü  Tegangan maksimum (DC): 150V.

    ü  Konsumsi arus maksimum: 100mW.

    ü  Tingkatan Resistansi/Tahanan : 10Ω sampai 100KΩ

    ü  Puncak spektral: 540nm (ukuran gelombang cahaya)

    ü  Waktu Respon Sensor : 20ms – 30ms.

    Konfigugrasi pin:

    Grafik respon:

    ü  Penurunan daya disipasi

    ü  Resistansi

    ü  Spectral respon

    ·         Rain sensor

    Konfigurasi pin:

    ü  VCC: 5V DC

    ü  2.GND: ground

    ü  Vout

    Spesifikasi:

    ü  Adoptshigh quality of RF-04 double sidedmaterial.

    ü  Area:5cm x 4cm nickel plateon side,

    ü  Anti-oxidation,anti-conductivity, with long use time;

    ü  Comparator output signal clean waveform is good, driving ability, over 15mA;

    ü  Potentiometer adjust the sensitivity;

    ü  Working voltage 5V;

    ü  Output format: Digital switching output (0 and 1) and analog voltage output AO;

    ü  With bolt holes for easy installation;

    ü  Small board PCB size: 3.2cm x 1.4cm;

    ü  Usesa wide voltage LM393 comparator

    Grafik respon:

    ·         Relay

    Konfigurasi pin:

    Nomor PIN

    Nama Pin

    Deskripsi

    1

    Coil End 1

    Digunakan untuk memicu (On / Off) Relay, Biasanya satu ujung terhubung ke 12V dan ujung lainnya ke ground

    2

    Coil End 2

    Digunakan untuk memicu (On / Off) Relay, Biasanya satu ujung terhubung ke 12V dan ujung lainnya ke ground

    3

    Common (COM)

    Common terhubung ke salah satu Ujung Beban yang akan dikontrol

    4

    Normally Close (NC)

    Ujung lain dari beban terhubung ke NO atau NC. Jika terhubung ke NC beban tetap terhubung sebelum pemicu

    5

    Normally Open (NO)

    Ujung lain dari beban terhubung ke NO atau NC. Jika terhubung ke NO, beban tetap terputus sebelum pemicu

    Spesifikasi:

    ü  Trigger Voltage (Voltage across coil) : 5V DC

    ü  Trigger Current (Nominal current) : 70mA

    ü  Maximum AC load current: 10A @ 250/125V AC

    ü  Maximum DC load current: 10A @ 30/28V DC

    ü  Compact 5-pin configuration with plastic moulding

    ü  Operating time: 10msec Release time: 5msec

    ü  Maximum switching: 300 operating/minute (mechanically)

    ·         Motor DC

    Konfigurasi pin:

    No:

    Pin Name

    Description

    1

    Terminal 1

    A normal DC motor would have only two terminals. Since these terminals are connected together only through a coil they have not polarity. Revering the connection will only reverse the direction of the motor

    2

    Terminal 2

    Spesifikasi:

    ü  Standard 130 Type DC motor

    ü  Operating Voltage: 4.5V to 9V

    ü  Recommended/Rated Voltage: 6V

    ü  Current at No load: 70mA (max)

    ü  No-load Speed: 9000 rpm

    ü  Loaded current: 250mA (approx)

    ü  Rated Load: 10g*cm

    ü  Motor Size: 27.5mm x 20mm x 15mm

    ü  Weight: 17 grams

    ·         LED

    Spesifikasi:

    ü  Superior weather resistance

    ü  5mm Round Standard Directivity

    ü  UV Resistant Eproxy

    ü  Forward Current (IF): 30mA

    ü  Forward Voltage (VF): 1.8V to 2.4V

    ü  Reverse Voltage: 5V

    ü  Operating Temperature: -30 to +85

    ü  Storage Temperature: -40 to +100

    ü  Luminous Intensity: 20mcd

    Konfigurasi pin:

    ü  Pin 1 : Positive terminal of LED

    ü  Pin 2 : Negative terminal of LED

    ·         Ground

    Ground Berfungsi sebagai untuk meniadakan beda potensial dengan mengalirkan arus sisa dari kebocoran tegangan atau arus pada rangkaian.

    3.      Dasar teori[Kembali]

    a.       Resistor

    Resistor merupakan komponen elektronika dasar yang digunakan untuk membatasi jumlah arus yang mengalir dalam satu rangkaian.Sesuai dengan namanya, resistor bersifat resistif dan umumnya terbuat dari bahan karbon. Resistor memiliki simbol seperti gambar dibawah ini :

    Resistor mempunyai nilai resistansi (tahanan) tertentu yang dapat memproduksi tegangan listrik di antara kedua pin dimana nilai tegangan terhadap resistansi tersebut berbanding lurus dengan arus yang mengalir, berdasarkan persamaan Hukum OHM :

    Dimana V adalah tegangan,  I adalah kuat arus, dan R adalah Hambatan.

    Di dalam resistor, terdapat ketentuan untuk membaca nilai resistor yang diwakili dengan kode warna dengan ketentuan di bawah ini :

    Sebagian besar resistor yang kita lihat memiliki empat pita berwarna . Oleh karena itu ada cara membacanya seperti ketentuan dibawah ini :

    1. Dua pita pertama dan kedua menentukan nilai dari resistansi

    2. Pita ketiga menentukan faktor pengali, yang akan memberikan nilai resistansi.

    3. Dan terakhir, pita keempat menentukan nilai toleransi.

    Rumus Resistor:

    Seri : Rtotal = R1 + R2 + R3 + ….. + Rn

    Dimana :

    Rtotal = Total Nilai Resistor

    R1 = Resistor ke-1

    R2 = Resistor ke-2

    R3 = Resistor ke-3

    Rn = Resistor ke-n

    Paralel: 1/Rtotal = 1/R1 + 1/R2 + 1/R3 + ….. + 1/Rn

    Dimana :

    Rtotal = Total Nilai Resistor

    R1 = Resistor ke-1

    R2 = Resistor ke-2

    R3 = Resistor ke-3

    Rn = Resistor ke-n

    b.      Dioda

    Cara Kerja Dioda

    Secara sederhana, cara kerja dioda dapat dijelaskan dalam tiga kondisi, yaitu kondisi tanpa tegangan (unbiased), diberikan tegangan positif (forward biased), dan tegangan negatif (reverse biased).

    Kondisi tanpa tegangan

    Pada kondisi tidak diberikan tegangan akan terbentuk suatu perbatasan medan listrik pada daerah P-N junction. Hal ini terjadi diawali dengan proses difusi, yaitu bergeraknya muatan elektro dari sisi n ke sisi p. Elektron-elektron tersebut akan menempati suatu tempat di sisi p yang disebut dengan holes. Pergerakan elektron-elektron tersebut akan meninggalkan ion positif di sisi n, dan holes yang terisi dengan elektron akan menimbulkan ion negatif di sisi p. Ion-ion tidak bergerak ini akan membentuk medan listrik statis yang menjadi penghalang pergerakan elektron pada dioda.

    Kondisi tegangan positif (Forward-bias)

    Pada kondisi ini, bagian anoda disambungkan dengan terminal positif sumber listrik dan bagian katoda disambungkan dengan terminal negatif. Adanya tegangan eksternal akan mengakibatkan ion-ion yang menjadi penghalang aliran listrik menjadi tertarik ke masing-masing kutub. Ion-ion negatif akan tertarik ke sisi anoda yang positif, dan ion-ion positif akan tertarik ke sisi katoda yang negatif. Hilangnya penghalang-penghalang tersebut akan memungkinkan pergerakan elektron di dalam dioda, sehingga arus listrik dapat mengalir seperti pada rangkaian tertutup.

    Kondisi tegangan negatif (Reverse-bias)

    Pada kondisi ini, bagian anoda disambungkan dengan terminal negatif sumber listrik dan bagian katoda disambungkan dengan terminal positif. Adanya tegangan eksternal akan mengakibatkan ion-ion yang menjadi penghalang aliran listrik menjadi tertarik ke masing-masing kutub. Pemberian tegangan negatif akan membuat ion-ion negatif tertarik ke sisi katoda (n-type) yang diberi tegangan positif, dan ion-ion positif tertarik ke sisi anoda (p-type) yang diberi tegangan negatif. Pergerakan ion-ion tersebut searah dengan medan listrik statis yang menghalangi pergerakan elektron, sehingga penghalang tersebut akan semakin tebal oleh ion-ion. Akibatnya, listrik tidak dapat mengalir melalui dioda dan rangkaian diibaratkan menjadi rangkaian terbuka.

    Rumus:

    c.       Transostor NPN

    Transistor adalah alat semikonduktor yang dipakai sebagai penguat, sebagai sirkuit pemutus dan penyambung arus (switching), stabilisasi tegangan, dan modulasi sinyal. Transistor dapat berfungsi semacam kran listrik, di mana berdasarkan arus inputnya (BJT) atau tegangan inputnya (FET), memungkinkan pengaliran listrik yang sangat akurat dari sirkuit sumber listriknya. Kapasitor NPN memiliki simbol seperti gambar di bawah ini:

    Terdapat rumus rumus dalam mencari transistor seperti rumus di bawah ini:

    Rumus dari Transitor adalah :

    hFE = iC/iB

    dimana,     iC = perubahan arus kolektor

    iB = perubahan arus basis

    hFE = arus yang dicapai

    Rumus dari Transitor adalah :

    Karakteristik Input

    Transistor adalah komponen aktif yang menggunakan aliran electron sebagai prinsip kerjanya didalam bahan. Sebuah transistor memiliki tiga daerah doped yaitu daerah emitter, daerah basis dan daerah disebut kolektor. Transistor ada dua jenis yaitu NPN dan PNP. Transistor memiliki dua sambungan: satu antara emitter dan basis, dan yang lain antara kolektor dan basis. Karena itu, sebuah transistor seperti dua buah dioda yang saling bertolak belakang yaitu dioda emitter-basis, atau disingkat dengan emitter dioda dan dioda kolektor-basis, atau disingkat dengan dioda kolektor.

    Bagian emitter-basis dari transistor merupakan dioda, maka apabila dioda emitter-basis dibias maju maka kita mengharapkan akan melihat grafik arus terhadap tegangan dioda biasa. Saat tegangan dioda emitter-basis lebih kecil dari potensial barriernya, maka arus basis (Ib) akan kecil. Ketika tegangan dioda melebihi potensial barriernya, arus basis (Ib) akan naik secara cepat.

    Karakteristik Output

    Sebuah transistor memiliki empat daerah operasi yang berbeda yaitu daerah aktif, daerah saturasi, daerah cutoff, dan daerah breakdown. Jika transistor digunakan sebagai penguat, transistor bekerja pada daerah aktif. Jika transistor digunakan pada rangkaian digital, transistor biasanya beroperasi pada daerah saturasi dan cutoff. Daerah breakdown biasanya dihindari karena resiko transistor menjadi hancur terlalu besar.

    Gelombang I/O Transistor

    d.      Kapasitor

    Kapasitor atau disebut juga dengan kondensator adalah komponen elektronika pasif yang dapat menyimpan energi atau muatan listrik dalam sementara waktu. Fungsi kapasitor (kondensator) di antaranya adalah dapat memilih gelombang radio pada rangkaian tuner, sebagai perata arus pada rectifier dan juga sebagai filter di dalam Rangkaian Power Supply (Catu Daya). Satuan nilai untuk kapasitor (kondensator) adalah Farad (F).

    Rumus Kapasitas Kapasitor

    Rumus Kapasitor Keping Sejajar (Udara)

    Rumus Kapasitor Keping Sejajar (Medium)

    Rumus Kapasitas Kapasitor Bentuk Bola

    e.       OP-AMP

    Simbol:

    Berfungsi sebagai penguat atau pembanding tegangan input dengan output

    Karakteristik IC OpAmp

    ü  Penguatan Tegangan Open-loop atau Av = ∞ (tak terhingga)

    ü  Tegangan Offset Keluaran (Output Offset Voltage) atau Voo = 0 (nol)

    ü  Impedansi Masukan (Input Impedance) atau Zin= ∞ (tak terhingga)

    ü  Impedansi Output (Output Impedance ) atau Zout = 0 (nol)

    ü  Lebar Pita (Bandwidth) atau BW = ∞ (tak terhingga)

    ü  Karakteristik tidak berubah dengan suhu

    Inverting Amplifier

    Rumus:

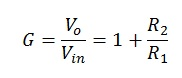
    Non Inverting

    Rumus:

    Komparator:

    Rumus:

    Adder

    Rumus:

    Bentuk gelombang

    f.        Potensiometer

    Potensiometer (POT) adalah salah satu jenis Resistor yang Nilai Resistansinya dapat diatur sesuai dengan kebutuhan Rangkaian Elektronika ataupun kebutuhan pemakainya. Potensiometer merupakan Keluarga Resistor yang tergolong dalam Kategori Variable Resistor. Secara struktur, Potensiometer terdiri dari 3 kaki Terminal dengan sebuah shaft atau tuas yang berfungsi sebagai pengaturnya.

    g.      Relay

    Relay adalah Saklar (Switch) yang dioperasikan secara listrik dan merupakan komponen Electromechanical (Elektromekanikal) yang terdiri dari 2 bagian utama yakni Elektromagnet (Coil) dan Mekanikal (seperangkat Kontak Saklar/Switch). Relay menggunakan Prinsip Elektromagnetik untuk menggerakkan Kontak Saklar sehingga dengan arus listrik yang kecil (low power) dapat menghantarkan listrik yang bertegangan lebih tinggi. Sebagai contoh, dengan Relay yang menggunakan Elektromagnet 5V dan 50 mA mampu menggerakan Armature Relay (yang berfungsi sebagai saklarnya) untuk menghantarkan listrik 220V 2A. Relay memiliki simbol seperti gambar di bawah ini :

    Kapasitas Pengalihan Maksimum:

    Cara Kerja Relay

    ü  Apabila coil diberikan arus listrik, maka akan timbul gaya elektromagnetik yang dapat menarik armature untuk merubah switch contact point.

    ü  Apabila coil tersebut sudah tidak dialiri arus listrik, maka Armature akan kembali lagi ke posisi Normally Close.

    ü  Umumnya, coil yang digunakan oleh relay untuk mengubah switch contact point ke posisi NC hanya membutuhkan arus listrik yang kecil.

    h.      LED

    Light Emitting Diode atau sering disingkat dengan LED adalah komponen elektronika yang dapat memancarkan  cahaya monokromatik ketika diberikan tegangan maju. LED merupakan keluarga Dioda yang terbuat dari bahan semikonduktor. Warna-warna Cahaya yang dipancarkan oleh LED tergantung pada jenis bahan semikonduktor yang dipergunakannya. LED juga dapat memancarkan sinar inframerah yang tidak tampak oleh mata seperti yang sering kita jumpai pada Remote Control TV ataupun Remote Control perangkat elektronik lainnya.

    Bentuk LED mirip dengan sebuah bohlam (bola lampu) yang kecil dan dapat dipasangkan dengan mudah ke dalam berbagai perangkat elektronika. Berbeda dengan Lampu Pijar, LED tidak memerlukan pembakaran filamen sehingga tidak menimbulkan panas dalam menghasilkan cahaya.  Oleh karena itu, saat ini LED (Light Emitting Diode) yang bentuknya kecil telah banyak digunakan sebagai lampu penerang dalam LCD TV yang mengganti lampu tube.

    Simbol dan Bentuk LED (Light Emitting Diode)

    Cara Kerja LED (Light Emitting Diode)

    Seperti dikatakan sebelumnya, LED merupakan keluarga dari Dioda yang terbuat dari Semikonduktor. Cara kerjanya pun hampir sama dengan Dioda yang memiliki dua kutub yaitu kutub Positif (P) dan Kutub Negatif (N). LED hanya akan memancarkan cahaya apabila dialiri tegangan maju (bias forward) dari Anoda menuju ke Katoda.

    LED terdiri dari sebuah chip semikonduktor yang di doping sehingga menciptakan junction P dan N. Yang dimaksud dengan proses doping dalam semikonduktor adalah proses untuk menambahkan ketidakmurnian (impurity) pada semikonduktor yang murni sehingga menghasilkan karakteristik kelistrikan yang diinginkan. Ketika LED dialiri tegangan maju atau bias forward yaitu dari Anoda (P) menuju ke Katoda (K), Kelebihan Elektron pada N-Type material akan berpindah ke wilayah yang kelebihan Hole (lubang) yaitu wilayah yang bermuatan positif (P-Type material). Saat Elektron berjumpa dengan Hole akan melepaskan photon dan memancarkan cahaya monokromatik (satu warna).

    LED atau Light Emitting Diode yang memancarkan cahaya ketika dialiri tegangan maju ini juga dapat digolongkan sebagai Transduser yang dapat mengubah energi listrik menjadi energi cahaya.

    i.        Motor DC

    Terdapat dua bagian utama pada sebuah Motor Listrik DC, yaitu Stator dan Rotor. Stator adalah bagian motor yang tidak berputar, bagian yang statis ini terdiri dari rangka dan kumparan medan. Sedangkan Rotor adalah bagian yang berputar, bagian Rotor ini terdiri dari kumparan Jangkar. Dua bagian utama ini dapat dibagi lagi menjadi beberapa komponen penting yaitu diantaranya adalah Yoke (kerangka magnet), Poles (kutub motor), Field winding (kumparan medan magnet), ArmatureWinding (Kumparan Jangkar), Commutator (Komutator)dan Brushes (kuas/sikat arang).

    Pada prinsipnya motor listrik DC menggunakan fenomena elektromagnet untuk bergerak, ketika arus listrik diberikan ke kumparan, permukaan kumparan yang bersifat utara akan bergerak menghadap ke magnet yang berkutub selatan dan kumparan yang bersifat selatan akan bergerak menghadap ke utara magnet. Saat ini, karena kutub utara kumparan bertemu dengan kutub selatan magnet ataupun kutub selatan kumparan bertemu dengan kutub utara magnet maka akan terjadi saling tarik menarik yang menyebabkan pergerakan kumparan berhenti.

    Untuk menggerakannya lagi, tepat pada saat kutub kumparan berhadapan dengan kutub magnet, arah arus pada kumparan dibalik. Dengan demikian, kutub utara kumparan akan berubah menjadi kutub selatan dan kutub selatannya akan berubah menjadi kutub utara. Pada saat perubahan kutub tersebut terjadi, kutub selatan kumparan akan berhadap dengan kutub selatan magnet dan kutub utara kumparan akan berhadapan dengan kutub utara magnet. Karena kutubnya sama, maka akan terjadi tolak menolak sehingga kumparan bergerak memutar hingga utara kumparan berhadapan dengan selatan magnet dan selatan kumparan berhadapan dengan utara magnet. Pada saat ini, arus yang mengalir ke kumparan dibalik lagi dan kumparan akan berputar lagi karena adanya perubahan kutub. Siklus ini akan berulang-ulang hingga arus listrik pada kumparan diputuskan.

    j.        Voltmeter

    Volt meter DC merupakan alat ukur yang berfungsi untuk mengetahui beda potensial tegangan DC antara 2 titik pada suatu beban listrik atau rangkaian elektronika.

    k.      Rain sensor

    Rain sensor atau sensor hujan adalah jenis sensor yang berfungsi mendeteksi terjadinya hujan atau tidak. Pada sensor ini, terdapat integrated circuit atau IC (komponen dasar yang terdiri dari resistor, transistor, dan lain-lain) komparator yang berfungsi memberikan sinyal berupa logika ‘on’ dan ‘off’. Sehingga ketika sensor mendeteksi adanya hujan, wiper mobil secara otomatis akan berfungsi tanpa harus mengaktifkan saklar manual.

    Sensor hujan juga mampu mengatur kecepatan wiper saat menyeka air hujan di kaca mobil, mulai dari posisi low, intermittent, hingga high speed. Pengaturan tersebut tergantung dari curah hujan yang menerpa kaca mobil.

    Komponen rain sensor :

    ü  Sensor hujan bermaterial dari FR-04 dengan dimensi 5 centimeter (cm) x 4 cm berlapis nikel.

    ü  Lapisan modul pada sensor mempunyai sigar oksidasi sehingga tahan terhadap korosi.

    ü  IC komputer.

    ü  Terdapat potensiometer yang berfungsi mengatur sensifitas sensor.

    ü  Dua output digital dan analog.

    l.        LDR sensor

    LDR (Light Dependent Resistor) merupakan salah satu komponen resistor yang nilai resistansinya akan berubah-ubah sesuai dengan intensitas cahaya yang mengenai sensor ini. LDR juga dapat digunakan sebagai sensor cahaya. Perlu diketahui bahwa nilai resistansi dari sensor ini sangat bergantung pada intensitas cahaya. Semakin banyak cahaya yang mengenainya, maka akan semakin menurun nilai resistansinya. Sebaliknya jika semakin sedikit cahaya yang mengenai sensor (gelap), maka nilai hambatannya akan menjadi semakin besar sehingga arus listrik yang mengalir akan terhambat.

    m.    Soil moisture sensor

    Sensor kelembaban adalah suatu alat ukur yang digunakan untuk membantu dalam proses pengukuran atau pendifinisian yang suatu kelembaban uap air yang terkandung dalam udara. Salah satu jenis sensor kelembaban adalah sensor kelembaban kapasitif.

    n.      Water pressure sensor

    Sensor tekanan air adalah jenis sensor tekanan yang biasa digunakan dalam praktek industri. Ini secara luas digunakan dalam berbagai lingkungan industri yang dinamis, pemeliharaan air dan rekayasa tenaga air, peralatan konstruksi transportasi, sistem kontrol produksi, teknologi aerospace, teknologi kapal, pipa dan sebagainya.

    4.      Percobaan[Kembali]

    Rangkaian simulasi:

    Prinsip kerja:

    Pada rangkaian kontrol tanaman hidroponik di rooftop ini menggunakan 4 buah sensor, yaitu LDR sensor, soil moisture sensor, rain Sensor, dan water pressure sensor. LDR sensor pada ragkaian ini berfungsi sebagai pendeteksi cahaya matahari, apabila sudah pagi maka kanopi pada rooftop akan ototmatis terbuka. Selanjutnya, soil moisture sensor berfungsi sebagai pendeteksi kelembaban tanah, jika tanah pada tanaman dideteksi mengalami kekurangan air maka motor akan otomatis membuka kran air. Jika air sudah sampai pada batas yang ditentukan, yaitu melalui rain sensor maka motor akan menutup kran air tadi. Untuk water pressure sensor sendiri berfungsi sebagai pengukur tekanan air pada saat kran penyiram air terbuka. 

    5.      Video[Kembali]

    Rain sensor:


    LDR sensor:




    Soil moisture sensor:




    Water pressure sensor:

    6.      Link download[Kembali]

    Download HTML  [download]

    Download Rangkaian [download]

    Download library rain sensor [download]

    Download library soil moisture sensor [download]

    Download datasheet rain sensor [download]

    Download datasheet LDR sensor [download]

    Download datasheet soil moisture sensor [download]

    Download datasheet water pressure sensor [download]

    Download datasheet LED [download]

    Download datasheet Motor DC [download]

     

     

     

     

     

    Tidak ada komentar:

    Posting Komentar

    BAHAN PRESENTASI UNTUK MATA KULIAH ELEKTRONIKA 2020/2021     Oleh : Rahma Azira Ichsan 2010953021   Dosen Pengempu: Dr. Da...